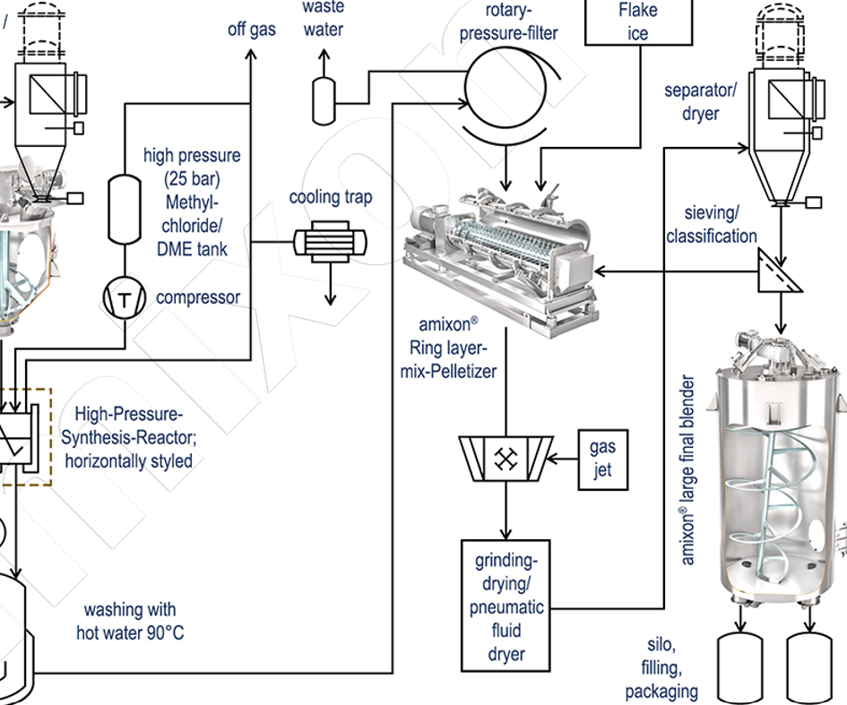
Gyraton 混合料仓
amixon® 生产 Gyraton® 混合机。Gyraton® 能够储存大量散装物料并实现高精度混合。它将料仓的功能与精密混合机的功能相结合。这一过程不受物料特性影响:干燥、潮湿、流动性好、流动性差、不同堆积密度、不同粒度等。
阅读更多大型发酵罐:Gyraton® 混合器变身发酵罐/反应器
amixon® 的 Gyraton® 混合技术是大型物质处理领域的创新技术。它以独特的方式将两个相反的要求结合在一起:“绝对保护产品的同时实现卓越的混合质量”。Gyraton® 混合过程满足最高卫生标准——即使批次大小达到 100 立方米。
阅读更多流化:通过引入空气使粉末松散
当所有粉末颗粒都被气体包围时,粉末就流化了。粉末颗粒不再相互接触。它们之间的摩擦力被抵消。流化粉末的行为类似于低粘度液体。容器中最小的开口(如不完整的焊缝、泄漏的接头)都会导致不必要的粉尘逸出。颗粒越小,流化越容易。潮湿的物料很难流化。它们需要更高的气体/空气输入。
阅读更多真空干燥、散装物料和悬浮液
在喷雾干燥过程中,从散装物料中去除液体成分。液体可能会非常牢固地附着,特别是在粉末颗粒具有小孔隙的情况下,这些小孔隙被称为毛细管。毛细管中束缚的液体通过热动力学蒸发。
阅读更多造粒、造粒过程、造粒机
正确的术语是 “团聚”或 “团聚造粒”。“造粒"一词也可用于描述粉碎过程,例如将固体粉碎成颗粒/粒状物的过程。请阅读我们详细的术语表文章 “团聚”和我们关于 “造粒”主题的博文。
阅读更多

























































































































