
确定共振频率
这是对是否存在共振风险的振动问题的初步评估。以下推导基于 amixon® 环形层混合造粒机。该情况经过高度理想化处理。
环形层混合造粒机安装在单轴承支架的中间位置。它被视为点荷载。该点荷载像一座桥一样,左右两侧分别位于两个支撑点上。该机器配备一个驱动电机和一个旋转混合轴。电机和轴以转速 n [每分钟转数] 旋转。混合轴存在轻微的不平衡。这会在支架中心产生周期性的垂直力。为了进行评估,该系统被建模为单质量振荡器。支架被视为具有弹簧刚度 keff 的弹簧。机器和部分支架被视为有效质量 m_(eff)。不平衡会产生谐波激励力 F(t)。需要评估以下数据:
- 激励频率
- 不平衡效应
- 理论弹簧刚度
- 整个系统的固有频率
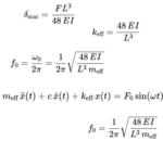
整个系统的固有频率
该系统被视为具有质量 m_eff 和弹簧刚度 k_eff 的单质量振荡器。无阻尼单质量振荡器的微分方程为:
meff x¨(t) + keff x(t) = 0
固有频率 ω_0 为:
ω0 = sqrt (keff/meff)
固有频率 f_0(以赫兹为单位)为:
f0 = ω0 / (2π)
f0 = (1 / (2 π)) sqrt (keff / meff)
如果将 k_eff 替换为 48 * E * I / L^3,则结果为:
f0 = (1 / (2 π)) sqrt ((48 E I) / (L3 meff))
该公式表明,固有频率随弯曲刚度 E * I 增加而增加,随跨度 L 和有效质量 m_eff 增加而减少。
比较激励频率和固有频率以评估共振风险
激励频率 f_Erreger 是根据机器的转速计算得出的。固有频率 f_0 是根据支架的弹簧刚度和有效质量计算得出的。当激励频率接近固有频率时,就会存在共振危险。共振条件近似为:
fErreger ≈ f0
为了确保设计安全,应保持固有频率与激励频率之间的距离。通常,选择约 20% 或更大的距离作为参考值。如果固有频率明显高于整个转速范围,则共振风险较低。如果固有频率明显低于整个转速范围,则共振风险同样较低。如果固有频率位于使用的转速范围内,则可能会出现振动问题。
该推导可初步评估环形层混合聚结器在载体上是否会出现共振问题。
完成后,amixon® 的团聚机将进行平衡处理。在此过程中,静态和动态不平衡都将被消除。此外,机器还安装在减震系统上。这些系统将可能出现的振动与地基分离,从而避免噪音。
© Copyright by amixon GmbH



